集合の問題では「条件を満たすものが何個あるか」を問われることがよくある。
それぞれの個数を足せば良さそうに見えるけど、実際にはそう簡単にはいかない。
そこで使われるのが、集合の個数を整理して考える「個数定理」というもの。
集合の要素の個数の計算は、集合の演算というよりは数の計算として扱うことになる。

集合をつくっている要素がいくつあるかが「要素の個数」となる。
そして、集合には要素の個数が有限である集合(有限集合)と、要素の個数が無限である集合(無限集合)がある。
集合\(A\)が有限集合のとき、その要素の個数は \[n(A)\] で表す。
例えば、\(10\)未満の自然数を全体集合\(U\)、偶数の集合を\(A\)、\(3\)の倍数の集合を\(B\)としたとき \[U=\{1,2,3,4,5,6,7,8,9\}\] \[A=\{2,4,6,8\}\] \[B=\{3,6,9\}\] となり、それぞれの要素の個数は \[n(U)=9\] \[n(A)=4\] \[n(B)=3\] こんな感じになる。
また、全体集合\(U\)のうち、偶数かつ\(3\)の倍数は \[A∩B=\{6\}\] となり、要素は\(6\)のみになるので、個数は \[n(A∩B)=1\] こんな感じになる。
集合どうしが重なることがあると、要素の個数を数えるときに注意が必要になる。
空集合\(\varnothing\)については、要素を1つも持たない集合なので \[n(\varnothing)=0\] となる。

個数定理は、集合の重なりを整理して、正しく数えるための考え方のこと。
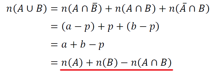
集合\(A\)と集合\(B\)について、それぞれの要素の個数を\(n(A)+n(B)\)と単純に足すと、両方に含まれる要素を2回数えてしまうことになるので、重なっている部分の個数を1回分引くことで、次の関係が成り立つ。
集合\(A\)と集合\(B\)について、それぞれの要素の個数を\(n(A)+n(B)\)と単純に足すと、両方に含まれる要素を2回数えてしまうことになるので、重なっている部分の個数を1回分引くことで、次の関係が成り立つ。
- 和集合 \[n(A∪B)=n(A)+n(B)-n(A∩B)\] 特に\(A∩B=\varnothing\)のとき \[n(A∪B)=n(A)+n(B)\]
- 補集合\[n(\overline{A})=n(U)-n(A)\]

どの部分が重なっているかを整理し、同じ要素を二重に数えないように考えることで、個数定理を理解することができる。

和集合の要素の個数\(n(A∪B)\)を考えると、

特に、\(A∩B=\varnothing\)のとき \[n(A∩B)=0\] となるので、 \[n(A∪B)=n(A)+n(B)\] となる。

-1024x197.png)
例題を解きながら、集合の要素の個数の求め方を確認していく。

\(n(U)=40\)
\(n(A)=18\)
\(n(B)=15\)
\(n(\overline{A}∩\overline{B})=12\)
こんな感じになる。
無くても解けるけど、分かりやすくするためにベン図も描いておく。


ド・モルガンの法則より \[n(\overline{A}∩\overline{B})=n(\overline{A∪B})=12\] 補集合の個数定理より

ベン図で見ると

こんな感じ。

和集合の個数定理より

ベン図で見ると

こんな感じ。

集合\(A\)の要素の個数から共通部分である\(A∩B\)の要素の個数を引くことで、\(A∩\overline{B}\)の要素の個数を求めることができる。 \[n(A∩\overline{B})=n(A)-n(A∩B)=18-5=13\] よって
ベン図で見ると

こんな感じ。
-1024x218.png)
| 集合と集合の関係を図で表したもの | |
| 範囲がはっきりしているものの集まり | |
\(a∈A\) |
\(a\)は\(A\)に属する \(a\)は\(A\)の要素 |
\(U\) |
すべての要素をまとめた集合 |
\(A∩B\) |
\(A\)かつ\(B\) |
\(A∪B\) |
\(A\)または\(B\) |
\(\overline{A}\) |
全体集合の要素で、集合\(A\)に属さない要素全体の集合 |
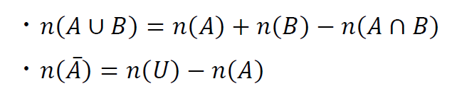
| ・\(n(A∪B)=n(A)+n(B)-n(A∩B)\) ・\(n(\overline{A})=n(U)-n(A)\) |
-1024x691.png)
集合の要素の個数を求める計算は、集合そのものを操作するというよりも、要素の個数を「数」として整理する。
個数定理は、集合の形を変えるための法則ではなく、同じ要素を二重に数えないための考え方だと捉えると理解しやすい。
ベン図と個数定理を併用することで、複雑に見える集合の問題も、数の計算として整理できるようになる。
慣れてくれば、ベン図を使わずに解けるようになって時短に繋がる。
すうがくのいえ 
