複2次式の4次関数の最大・最小

2次関数の最大値と最小値でやったように、定義域が設定されて区間が決められていた場合、最大値・最小値が変わったりする。
今度は、複2次式の4次関数の最大・最小を考える。

4次関数ってなに?

4次関数とは、4次式の関数っていう意味。
例えば\[y=x^4+4x^3+3x^2-2x-6\]こんな感じの関数のこと。
4次式とは、最も次数の高い項の次数が「4」の式ということ。
関数とは、数の関係性のこと。
2つの変数\(x,y\)において、\(x\)が決まることで\(y\)が決まるとき、\(y\)は\(x\)の関数であるという。
これが4次関数
4次関数の正体が分かったので、4次関数の最大・最小を考えていく。
☆複2次式
\(x^4\)と\(x^2\)と定数項のみからなる4次式を複2次式と呼ぶ。「\(x^4\)」とか「\(x^4+2x^2\)」とか「\(x^4-4x^2+4\)」とかとか。複2次式は\(x^2=t\)と置くことで「\(x^4=t^2\)」とか「\(x^4+2x^2=t^2+2t\)」とか「\(x^4-4x^2+4=t^2-4t+4\)」という感じに「\(t\)の2次式」とすることができる。4次関数の最大・最小は微分法を使う数学Ⅲの範囲だけど、複2次式であれば数学Ⅰの範囲でも解くことができる

複2次式の4次関数の最大・最小

4次関数が何なのかをやったのに4乗は出てきてない…。
と思いきや\((x^2+2x+3)(x^2+2x-2)\)を展開すると\(x^4\)が出てくるということが分かる。
でも解き方としてはそのまま展開したりはしない。

1.共通の式を置き換え
まずは\((x^2+2x+3)(x^2+2x-2)-5(x^2+2x)+2\)で\(x^2+2x\)という式が共通していることを見つける。
\(x^2+2x=t\)と置き換える。
この「置き換える」という作業は、置き換えて微分するとか置換積分とか今後無限に出てくる。

2.変域の確定
置き換えてまずやることは、\(t\)の変域を確定させること。
そのためにはまず平方式に平方完成する。
軸\(x=-1\)、頂点\((-1,-1)\)ということが分かった。
ここで2次関数の最大値と最小値の考え方を取り入れる。
所与の条件より\(-2≦x≦1\)であることから
中央値\(=\frac{-2+1}{2}=-\frac{1}{2}\)
軸\(x=-1\)は中央値\(-\frac{1}{2}\)よりもマイナス側にあるので\(x=1\)で最大値をとるということが分かる。
\(x=1\)で最大値\(3\)をとる。
頂点\((-1,-1)\)は\(-2≦x≦1\)内にあるので\(x=-1\)で最小値\(-1\)をとる。
つまり\(t\)の変域は\(-1≦t≦3\)ということが分かる。
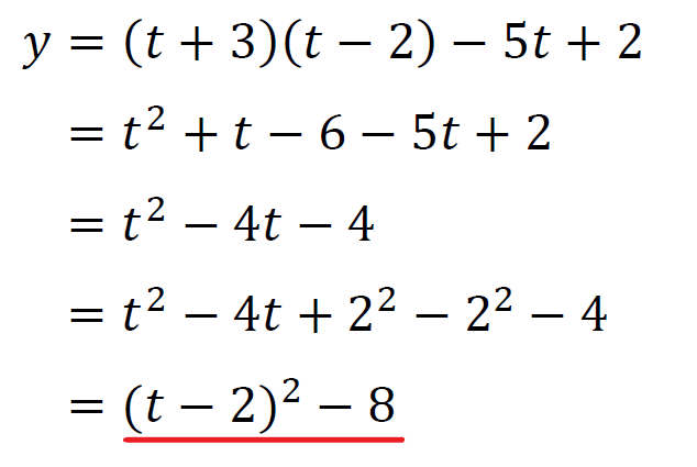
3.\(y\)の最大値と最小値を求める
定義域が\(-1≦t≦3\)のとき\(y=(t+3)(t-2)-5t+2\)の最大値と最小値がどうなるかを考える。
\(y=(t+3)(t-2)-5t+2\)を展開して平方式に平方完成する。
軸\(t=2\)、頂点\((2,-8)\)ということが分かった。
ここでまた2次関数の最大値と最小値の考え方を取り入れる。
\(t\)の変域が\(-1≦t≦3\)であることから
中央値\(=\frac{-1+3}{2}=\frac{2}{2}=1\)
軸\(t=2\)は中央値\(1\)よりもプラス側にあるので\(t=-1\)で最大値をとるということが分かる。
\(x\)の値を求める。
\(x=-1\)で最大値\(1\)をとる。
頂点\((2,-8)\)は\(-1≦t≦3\)内にあるので\(t=3\)で最小値\(-8\)をとる。
\(x\)の値を求める。
\(-1-\sqrt{3}\)は\(-2≦x≦1\)を満たさないので
\(x=-1+\sqrt{3}\)で最小値\(-8\)をとる。
まとめると、
\(x=-1\)のとき最大値\(1\)
\(x=-1+\sqrt{3}\)のとき最小値\(-8\)

これが答え。
1.共通の式を置き換え
2.変域の確定
3.\(y\)の最大値と最小値を求める
この3ステップで複2次式の4次関数を解くことができる。
最後に\(x\)の値を求めることを忘れないようにしなければならない。

例題

例題を解きながら、4次関数の最大・最小の求め方を確認する。

1.共通の式を置き換え
まずは\((x^2-6x)^2+12(x^2-6x)+30\)で\(x^2-6x\)という式が共通していることを見つける。
\(x^2-6x=t\)と置き換える。
2.変域の確定
\(t\)の変域を確定させるために平方式に平方完成する。
軸\(x=3\)、頂点\((3,-9)\)ということが分かった。
ここで2次関数の最大値と最小値の考え方を取り入れる。
所与の条件より\(1≦x≦5\)であることから
中央値\(=\frac{1+5}{2}=\frac{6}{2}=3\)
軸\(x=3\)は中央値\(3\)と同じなので両端の\(x=1,x=5\)で最大値をとるということが分かる。
\(x=1\)で最大値\(-5\)をとる。
頂点\((3,-9)\)は\(1≦x≦5\)内にあるので\(x=3\)で最小値\(-9\)をとる。
つまり\(t\)の変域は\(-9≦t≦-5\)ということが分かる。
3.\(y\)の最大値と最小値を求める
定義域が\(-9≦t≦-5\)のとき\(y=t^2+12t+30\)の最大値と最小値がどうなるかを考える。
\(y=t^2+12t+30\)を平方式に平方完成する。
軸\(t=-6\)、頂点\((-6,-6)\)ということが分かった。
ここでまた2次関数の最大値と最小値の考え方を取り入れる。
\(t\)の変域が\(-9≦t≦-5\)であることから
中央値\(=\frac{-9-5}{2}=-\frac{14}{2}=-7\)
軸\(t=-6\)は中央値\(-7\)よりもプラス側にあるので\(t=-9\)で最大値をとるということが分かる。
\(x\)の値を求める。
\(x=3\)で最大値\(3\)をとる。
頂点\((-6,-6)\)は\(-9≦t≦-5\)内にあるので\(t=-6\)で最小値\(-6\)をとる。
\(x\)の値を求める。
\(x=3±\sqrt{3}\)で最小値\(-6\)をとる。
まとめると、
\(x=3\)のとき最大値\(3\)
\(x=3±\sqrt{3}\)のとき最小値\(-6\)
これが答え。

定義を知る

変数
どんな数にでもなり得る文字のこと。変化する数。\(x\)とか\(y\)とかとか。
4次式
最も次数の高い項の次数が「4」の式のこと。
関数
数の関係性のこと。
4次関数
4次式の関数。
\(y=x^4+4x^3+3x^2-2x-6\)こんな感じの関数。
複2次式
\(x^4\)と\(x^2\)と定数項のみからなる4次式のこと。

まとめ

1.共通の式を置き換え
2.変域の確定
3.yの最大値と最小値を求める

この3ステップで複2次式の4次関数を解くことができる。
最後に置き換えた\(t\)から\(x\)の値を求めるを忘れずに。

コメントを残す

メールアドレスが公開されることはありません。