ルートの中に文字の2乗が入っている場合は注意が必要。
簡単にルートを取り払うだけでは計算できない。
実際にどのように計算するのか、
・単項式の2乗
・多項式の2乗
・複数のルートがあるとき
この3パターンで考えてみる。

まず、「ルートの中に文字の2乗があるときの性質」を確認する。
ルートの中がプラスの時とマイナスの時とで扱い方が変わる。
それらをまとめて、

と表すことができる。
こんな感じに、ルートの中に文字の2乗があるとき、絶対値の性質を持っているということが確認できる。

このいかにもルートを外せそうな数を考えてみる。
ルートの中が単項式の2乗の場合、まずは、平方根の公式3.をつかって「9」をルートから外に出す。

ここで 「ルートの中に文字の2乗があるときの性質」を考える。
これは、絶対値の性質と同じになるので、

こんな感じに変形できる。
絶対値記号の中がマイナスのとき、絶対値記号の中に-1を掛けるから、

これが答え。
こんな感じに場合分けをして答えを出さなければならない。

次に、ルートの中が多項式の2乗の場合、
ルートの中に文字の2乗があるときの性質は絶対値の性質と同じになるので、

こんな感じに変形できる。
次に、絶対値の中がプラスになる場合とマイナスになる場合を考える。
プラスは「0以上の数」マイナスは「0より小さい数」なので、

という場合分けができる。
それぞれ元の式で考えると、

これが答え。
こんな感じに場合分けをして答えを出さなければならない。

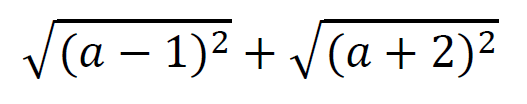
今度は、複数のルートがある場合を考える。
まず、ルートの中に文字の2乗があるときの性質は絶対値の性質と同じになるので、

こんな感じに変形できる。
次に、それぞれプラスの場合とマイナスの場合を考える。
前の方の式は、さっきと同じ。

後ろの方は、

こんな感じに場合分けをすることができる。
これを踏まえて考えると、

これが答え。
こんな感じに場合分けをして答えを出さなければならない。

「ルートの中に文字の2乗があるときの性質」は「絶対値の性質」と同じ。
絶対値記号の中がマイナスのとき、絶対値記号の中に-1を掛ける


ルートの中に文字の2乗があるときは、まず絶対値の形に変形させなければならない。
次にプラスの場合とマイナスの場合に場合分けを考えなければならない。
場合分けは慣れてないと難しく感じるかもしれないし、どんな感じに場合分けすればいいのか分かりづらい。
でも慣れてしまえばそんな大したことはない。
すうがくのいえ 
